- A+
之所以要对PP进行控制降解,是因为合成的聚丙烯通常具有较高的分子量和较宽的分子量分布,从而带来的高熔体粘度和弹性限制了它在实际应用中的加工效率,且可能对产品质量造成一定的影响。因此对PP进行控制降解,让PP的分子量降低、分子量分布变窄,降低其粘性和弹性,从而适宜一些特殊应用。
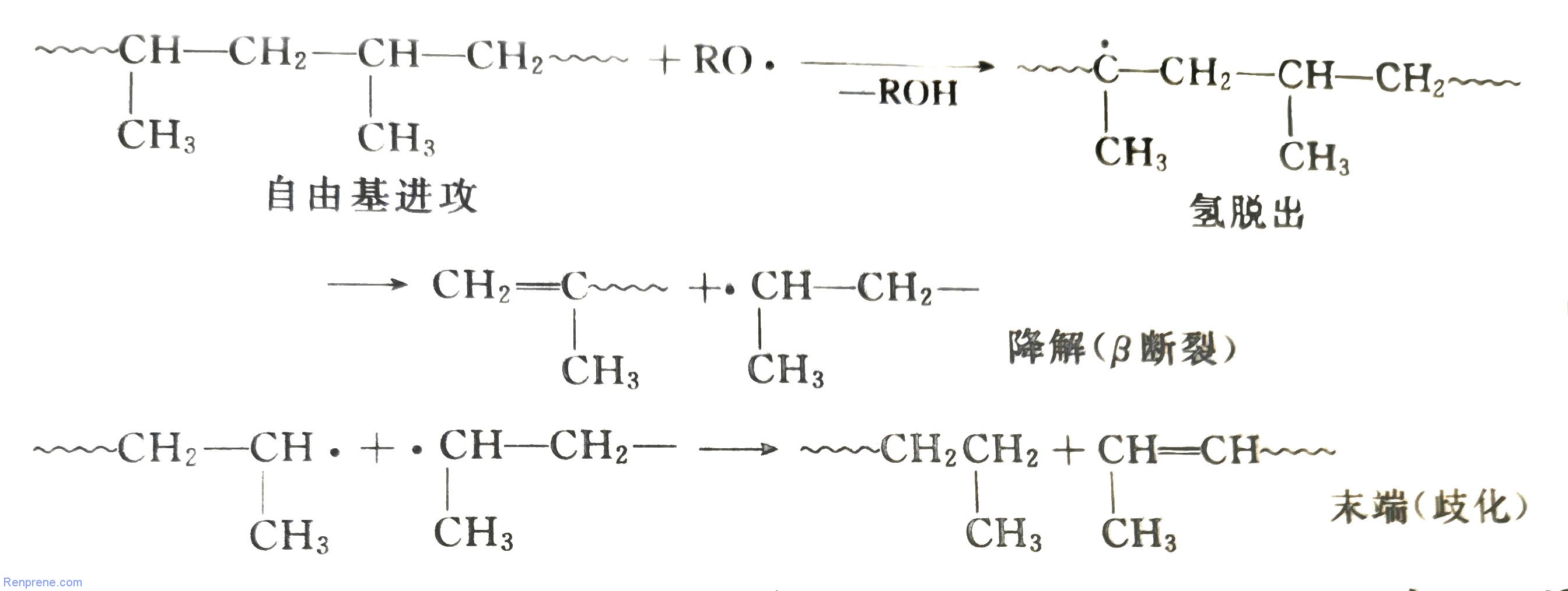
1、化学原理
含有过氧化物ROOR的聚丙烯在熔融状态下,会通过一系列包括链引发、链断裂、链转移和链终止的自由基反应而发生降解。聚合物主链首先在过氧化物自由基作用下,其叔碳原子上的氢脱出,形成了大分子自由基;这一大分子自由基又发生了链断裂(β断裂),从而降低了聚合物的分子量。这一反应过程能通过大分子自由基的重组和歧化反应而终止。氧、加工稳定剂以及抗氧剂的存在都会通过自由基的竞争反应而影响聚合物的降解过程。以下是简化的反应图示。

2、材料与浓度
具有低熔体粘度速率(MFR) (在 230℃/212kPa下,小于1g/10min)的聚丙烯均聚物通常以直接从反应器中获取的粉料或粒料的形式使用。有机过氧化物(大多为二烷基类)的用量在0.001~1份之间,可根据最终所要求的熔体流动速率(MFR)而定。这些过氧化物能够以液体(纯的或用惰性载体稀释的)、结晶固体或散粒状粉剂(或附着在惰性基质上的液体)以及聚烯烃母料等形式参与反应。
通常根据与给定半衰期(即50%的过氧化物分解所需要的时间)相适应的温度来选择过氧化物。在135~155℃之间,半衰期为1h的二烷基过氧化物是比较通用的。在典型的加工温度180~240℃之间,这些二烷基过氧化物能够在较短的时间内产生足够的反应性自由基,以完成加工过程。下表按照热稳定性递增的顺序列出了5种广泛使用的过氧化物。
用于PP的可控降解的二烷基过氧化物
| 过氧化物 | 半衰期为1h的分解温度/℃ |
| 双(过氧化叔丁基)二异丙苯 | 137 |
| 过氧化二异丙苯 | 137 |
| 2,5-二甲基-2,5-双(叔丁基过氧化)己烷 | 140.3 |
| 过氧化二叔丁基 | 149.1 |
| 2,5-二甲基-2,5-双(叔丁基过氧化)-3-己炔 | 151.8 |
下表中列出的半衰期数据反映了三种最常用的二烷基过氧化物在加工温度下的热分解活性。对于聚烯烃反应,如PP的可控降解和PE的交联,通常认为反应的总速率是受过氧化物的分解速率控制的。因此,从一级分解的动力学来看,为确保98%的分解率,理想的加工时间应为过氧化物半衰期的6~7倍。表格中的数据表明:过氧化物过氧化二异丙苯和2,5-二甲基-2,5-双(叔丁基过氧化)己烷在200℃时能在1min内反应完毕,而过氧化物2,5-二甲基-2,5-双(叔丁基过氧化)-3-己炔则要在220℃的温度下才能在1min内完成反应。这些在稀溶液中测出的半衰期数据不一定与挤出条件下的实际半衰期相符,仅用作筛选过氧化物时的参考。半衰期与介质的类型和粘度、过氧化物在熔体中的分布及干扰物的存在有关。实际数据表明,过氧化物过氧化二异丙苯、2,5-二甲基-2,5-双(叔丁基过氧化)己烷、2,5-二甲基-2,5-双(叔丁基过氧化)-3-己炔在熔融的LDPE中的半衰期比在癸烷或正十二烷中的半衰期长2~3倍,比在苯中的半衰期要长得多。例如,在190℃下,过氧化物2,5-二甲基-2,5-双(叔丁基过氧化)己烷在苯和正十二烷中的半衰期估计分别为12s和28s,而在熔融的LDPE中的半衰期大约是71s。
二烷基过氧化物在稀溶液中的半衰期
| 过氧化物 | 在稀溶液中的半衰期/s | |||
| 180℃ | 200℃ | 220℃ | 240℃ | |
| 过氧化二异丙苯 | 50 | 9 | 1.8 | 0.4 |
| 2,5-二甲基-2,5-双(叔丁基过氧化)己烷 | 68 | 12 | 2.4 | 0.6 |
| 2,5-二甲基-2,5-双(叔丁基过氧化)-3-己炔 | 16 | 36 | 6.8 | 1.4 |
二烷基过氧化物均裂产生活泼的烷氧基自由基,这些自由基可接着参与二次反应,形成其他的具有反应活性的烷基自由基以及非活性的挥发性产物。高温和低活性的介质有利于二次分解,又反过来影响着过氧化物的总效率。在加工过程中需除去的挥发性分解产物取决于聚合物的类型和加工温度。叔丁醇是过氧化物2,5-二甲基-2,5-双(叔丁基过氧化)己烷、过氧化二叔丁基、2,5-二甲基-2,5-双(叔丁基过氧化)-3-己炔的主要分解产物。据报道,酮、醇、饱和烃、一氧化碳和二氧化碳是在惰性介质中形成的分解产物。在128℃下,半衰期为1h的2,2-二戊基过氧化丙烷不会释放出叔丁醇,故可在必须避免叔丁醇气味的情形下使用。然而,在同样的浓度下,2,2-二戊基过氧化丙烷的效率又低于那些通用的二烷基过氧化物。
- TPV/TPE业务助理
-

- 更多好文敬请关注
-







